ページの本文へ

Hitachi

ビジネスプロセスモデリング
プロジェクトの進め方

プロセスマイニングによるDX羅針盤サービス

■ ページ内リンクメニュー

ビジネスプロセスモデリングプロジェクトの進め方とは

ビジネスプロセスモデリングプロジェクトを実施する際は、プロセスマイニングの結果を前提に、初期プロセス→基本プロセス(AsIs)→理想プロセス(Tobe)を作成して、シミュレーションを実行・課題を抽出して施策を立案します。
ここでは「初期プロセスの作成」から「施策の立案」までの流れのイメージがわかるように解説します。

取り扱う例題

ここではビジネスプロセスモデリング表記法(BPMN)作成のイメージについて、Webサービスの問い合わせ対応の業務フロー図を例に説明します。

この業務ではエンドユーザの問い合わせを受けたヘルプデスク担当が保守チームのリーダに調査依頼を実施します。
保守チームリーダーは既知の事象か確認し、実績のない事象の場合は保守チーム担当に運用システムの詳細調査を依頼します。
その後、調査結果を報告し、受け取ったヘルプデスク担当はエンドユーザに問合せ回答を返信します。また、この業務のKPI(重要業績評価指標)はリードタイムとして48営業時間以内に業務が完了できるものと設定します。

※これら各登場人物はメールでコミュケーションを取るものとします。

問い合わせ業務の各登場人物の人数は以下の通りです。

作業体制

人数

時間単価

ヘルプデスク担当の人数

2人

3,000円

保守チームリーダの人数

1人

4,000円

保守チーム担当者の人数

1人

3,000円

問い合わせ頻度は3時間おきに発生し、合計240件対応した際のリードタイムとオペレーションコストを評価するものとします。
また、本プロジェクトでは想定リードタイム48時間とのギャップを解消しつつ、されに生産性2倍(オペレーションコスト50%削減)を目標に定めるものとします。

前提

プロセスマイニングのプロジェクトを始める場合、以下の事項を明確にする必要があります。

◆ 前提事項 ◆

  • 対象業務・システムの一覧が明確になっていること
  • プロジェクトの目的(実現したい姿)が明確になっていること
  • 分析内容のボリュームと作成物、スケジュールが明確になっていること
  • プロセスマイニングの結果が作成されていること

初期プロセスの分析

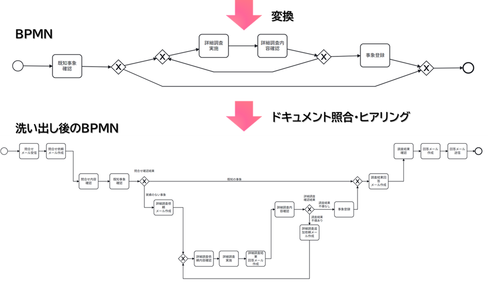
①:プロセスマイニング結果のBPMN変換・非システム化作業の洗いだし

プロセスマイニングで作成したプロセスマップからBPMNを変換して作成し、業務ドキュメントとヒアリングを通して非システム化作業を洗い出し反映します。プロセスマイニング対象の業務システムでは以下の4作業のみ記録されているものとします。

■ プロセスマップ (プロセスマイニングの結果)

※プロセスマイニングツールで表示される時間単位は以下の通り
 instant = 0secs(時間間隔なし)
 1mins = 60secs
 1hrs = 60mins
 1days = 24hrs
 1wks = 7days
 1mths ≒ 4.35wks = 730hrs
 1year = 12mths

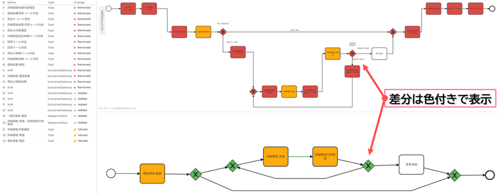
②:コンフォーマンスチェック

BPMNで作成した業務プロセスと、プロセスマイニングの結果を比較することで、システムが捉えなければいけない状態(改善点)を抽出します。

③:初期プロセスのBPMNの作成

非システム化作業の洗いだしたBPMNを整えて初期プロセスのBPMNを仕上げます。

④:シミュレーションの実行

パラメータを設定してシミュレーションを実行します。
実行結果はイベントログとして出力され、以降通常のプロセスマイニングデータとして使用可能になります。

⑤:シミュレーション結果の可視化と分析の実施

初期プロセスのシミュレーション結果のイベントログを可視化して、課題分析を行います。

以下の図はプロセスマイニングツールでシミュレーション結果を可視化した図です。
パフォーマンス分析を行うと「問合せ内容確認」と「詳細調査依頼内容確認」の待ち時間が発生していることがわかります。
詳細を確認すると滞留が発生することでリードタイムに最大6.74(3.98+2.76)日(161.76時間)の遅延が発生していることがわかります。
(発生課題の発見)
また、平均リードタイムは平均4.05週間(680.4時間)対応に時間がかかっており、目標値の48営業時間を大きく超過することが判明し、KPIの水準を大きく下回る問題(課題)が発生していることがわかります。

基本プロセス(AsIs)の作成の分析

①:発見課題の整理と改善施策立案・効果予測

「問合せ内容確認」と「詳細調査依頼内容確認」で滞留している課題より以下の改善施策を立案します。

改善施策内容

効果予測

施策①

保守チームリーダの人数の人数1人⇒2人に増員

「問合せ内容確認」の滞留解消

施策②

保守チーム担当者の人数を1人⇒3人に増員

「詳細調査依頼内容確認」の滞留解消

②:基本プロセスのAsIsBPMNの作成

初期プロセスのBPMNをコピーして、想定業務フロー(AsIsBPMN)を作成し、シミュレーションのパラメータ(ロールの人数情報)を修正します。

③:シミュレーションの実行

設定したパラメータに基づいてAsIsシミュレーションを実行します。

④:プロセス分析・問題確認

AsIsシミュレーション結果のイベントログを可視化して、課題解決ができたかを確認します。
パフォーマンス分析を行うと「問合せ内容確認」と「詳細調査依頼内容確認」の待ち時間が14.88分(45秒/60+14.13分)(0.248時間)とAsIsの161.76時間と比較して滞留が概ね解消されていることがわかります。
また、平均リードタイムを確認すると1.89日(45.36時間)であり、AsIsの680.4時間を大きく下回る結果となり、かつKPIの48時間を下回るため、施策によりリードタイムの改善とKPIの水準を確保できる見通しを立てることができました。
一方で生産性の観点ではコストが34.38k円に対して33.73K円であり生産性は約2%の改善にとどまり、生産性までは改善できなかったため、抜本施策立案による生産性のアップが必要であることがわかります。

理想プロセス(ToBe)の作成の分析

①:設定課題の整理と抜本施策立案・効果予測

リードタイム50%改善の目標を実現すべく、以下の抜本施策を立案し、施策効果を予測して設定します。

抜本施策内容・予測効果

施策①

RPA導入によるオペレータの作業の受付(15分→0分)、調査結果内容確認(15分→0分)、メール作成(15分→0分)、詳細調査依頼メール作成の自動化

施策②

生成AI導入による既知事象確認の自動化(2時間→3分)、回答草案作成(+3分)による事象登録の効率化(2時間→30分)

施策③

生成AI導入による調査計画の草案作成(+3分)による詳細調査実施の効率化(4時間→3時間)


※具体的な施策・ソリューション例は「発見した課題と施策・提案ソリューションの例」を参照下さい。

②:理想プロセスのToBeBPMNの作成

想定業務フロー(AsIsBPMN)をコピーして、抜本施策を反映した理想プロセス(ToBeBPN)を作成します。

③:シミュレーションの実行

設定したパラメータに基づいてToBeシミュレーションを実行します。

④:プロセス分析・問題確認

ToBeシミュレーション結果のイベントログを可視化して、課題解決ができたかを確認します。
施策導入前の45.36時間に対して19.14時間と約58%の改善が見られ、コストも33.73K円から14.95円と約2.25倍の生産性改善が見込めることを検証でき、改善施策と抜本施策の導入によって業務改善が達成できるものと考えることができます。

分析結果の報告・結果報告書の作成

課題と施策についてお客様にご報告して、所感についてフィードバックを頂き、結果報告書をご提出致します。

【 主な報告内容 】
・プロジェクトの目的・概要
・分析成果
・ソリューション案

お問い合わせ・資料請求

直接の資料請求・お問い合わせは、
お問い合わせフォームからどうぞ

その他、デモ・トライアル・導入相談など、お問い合わせも受け付けております

直接の資料請求・お問い合わせは、お問い合わせフォームからどうぞ 直接の資料請求・お問い合わせは、お問い合わせフォームからどうぞ